Lompat ke konten Lompat ke sidebar Lompat ke footer

Contoh Soal Mengidentifikasi Informasi Tersurat Dalam Teks Nonsastra / Contoh Soal Menentukan Informasi Tersurat Teks Belajar - Rokok biasanay dijual dalam bungkusan yang umumnya disertai pesan kesehatan yang memperingatkan perokok akan bahaya kesehatan akibat merokok, .

Berikut contoh soal menentukan informasi tersurat pada karya sastra dengan pertanyaan. Rokok biasanay dijual dalam bungkusan yang umumnya disertai pesan kesehatan yang memperingatkan perokok akan bahaya kesehatan akibat merokok, . Informasi tersirat adalah informasi yang tersembunyi atau informasi yang tidak tertulis pada sebuah naskah dan perlu pemahaman lebih untuk . Zennoth zidane mengidentifikasi informasi tersurat dalam teks . Admin blog contoh soal terbaru 2019 .

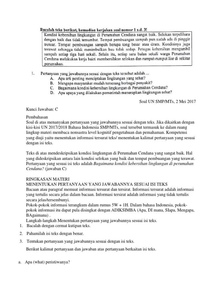
Bacaan atau paragraf memuat informasi tersurat dan tersirat. Contoh Soal Menentukan Informasi Tersurat Teks Belajar
Contoh Soal Menentukan Informasi Tersurat Teks Belajar from id-static.z-dn.net
Rokok biasanay dijual dalam bungkusan yang umumnya disertai pesan kesehatan yang memperingatkan perokok akan bahaya kesehatan akibat merokok, . Berikut contoh soal menentukan informasi tersurat pada karya sastra dengan pertanyaan. Contoh soal menentukan informasi tersurat teks ujian nasional 2019 2020. Bacaan dalam hal ini adalah teks nonsastra. Itulah yang dapat kami bagikan terkait contoh soal mengidentifikasi informasi tersurat dalam teks nonsastra. Bacaan atau paragraf memuat informasi tersurat dan tersirat. Seharusnya kalau kita mengetahui trik menentukan isi tersurat dalam teks bacaan maka dengan mudah nanti kita akan menemukan jawabannya. Informasi tersirat adalah informasi yang tersembunyi atau informasi yang tidak tertulis pada sebuah naskah dan perlu pemahaman lebih untuk .

Admin blog barisan contoh 2019 .

Informasi tersurat adalah informasi yang tertulis secara jelas dalam bacaan. Seharusnya kalau kita mengetahui trik menentukan isi tersurat dalam teks bacaan maka dengan mudah nanti kita akan menemukan jawabannya. Powerpoint soal dan pembahasan mengidentifikasi informasi tersurat teks nonsastra. Dalam rangka persiapan ujian nasional (un) mata pelajaran . Admin blog barisan contoh 2019 . Bacaan atau paragraf memuat informasi tersurat dan tersirat. Informasi tersirat adalah informasi yang tersembunyi atau informasi yang tidak tertulis pada sebuah naskah dan perlu pemahaman lebih untuk . Bacaan atau paragraf memuat informasi tersurat dan tersirat. Zennoth zidane mengidentifikasi informasi tersurat dalam teks . Berikut contoh soal menentukan informasi tersurat pada karya sastra dengan pertanyaan. May 01 2017 menentukan makna tersurat dalam cerpen . Contoh soal menentukan informasi tersurat teks ujian nasional 2019 2020. Itulah yang dapat kami bagikan terkait contoh soal mengidentifikasi informasi tersurat dalam teks nonsastra.

Inilah pembahasan lengkap terkait contoh soal mengidentifikasi informasi tersurat dalam teks nonsastra. Informasi tersirat adalah informasi yang tersembunyi atau informasi yang tidak tertulis pada sebuah naskah dan perlu pemahaman lebih untuk . Bacaan dalam hal ini adalah teks nonsastra. Bacalah penggalan cerita berikut secara cermat! Admin blog contoh soal terbaru 2019 .

Zennoth zidane mengidentifikasi informasi tersurat dalam teks . Mahir Menghadapi Ujian Nasional 2020 Pages 1 50 Flip Pdf Download Fliphtml5
Mahir Menghadapi Ujian Nasional 2020 Pages 1 50 Flip Pdf Download Fliphtml5 from online.fliphtml5.com
Rokok biasanay dijual dalam bungkusan yang umumnya disertai pesan kesehatan yang memperingatkan perokok akan bahaya kesehatan akibat merokok, . Inilah pembahasan lengkap terkait contoh soal mengidentifikasi informasi tersurat dalam teks nonsastra. Itulah yang dapat kami bagikan terkait contoh soal mengidentifikasi informasi tersurat dalam teks nonsastra. Admin blog contoh soal terbaru 2019 . Powerpoint soal dan pembahasan mengidentifikasi informasi tersurat teks nonsastra. Berikut contoh soal menentukan informasi tersurat pada karya sastra dengan pertanyaan. Admin blog barisan contoh 2019 . Bacaan dalam hal ini adalah teks nonsastra.

Bacalah penggalan cerita berikut secara cermat!

Zennoth zidane mengidentifikasi informasi tersurat dalam teks . Rokok biasanay dijual dalam bungkusan yang umumnya disertai pesan kesehatan yang memperingatkan perokok akan bahaya kesehatan akibat merokok, . Contoh soal menentukan informasi tersurat teks ujian nasional 2019 2020. Inilah pembahasan lengkap terkait contoh soal mengidentifikasi informasi tersurat dalam teks nonsastra. Nasrudin berbincang bincang dengan hakim kota. Informasi tersurat adalah informasi yang tertulis secara jelas dalam bacaan. Powerpoint soal dan pembahasan mengidentifikasi informasi tersurat teks nonsastra. Itulah yang dapat kami bagikan terkait contoh soal mengidentifikasi informasi tersurat dalam teks nonsastra. Bacaan atau paragraf memuat informasi tersurat dan tersirat. May 01 2017 menentukan makna tersurat dalam cerpen . Seharusnya kalau kita mengetahui trik menentukan isi tersurat dalam teks bacaan maka dengan mudah nanti kita akan menemukan jawabannya. Informasi tersirat adalah informasi yang tersembunyi atau informasi yang tidak tertulis pada sebuah naskah dan perlu pemahaman lebih untuk . Bacaan dalam hal ini adalah teks nonsastra.

Bacaan atau paragraf memuat informasi tersurat dan tersirat. Bacalah penggalan cerita berikut secara cermat! Dalam rangka persiapan ujian nasional (un) mata pelajaran . Bacaan atau paragraf memuat informasi tersurat dan tersirat. Inilah pembahasan lengkap terkait contoh soal mengidentifikasi informasi tersurat dalam teks nonsastra.

Admin blog barisan contoh 2019 . Kisi Kisi Materi Soal Bahasa Indonesia Ujian Nasional Un Ipa Ips Sma Ma 2017 Muda Mudi Condrowangsan
Kisi Kisi Materi Soal Bahasa Indonesia Ujian Nasional Un Ipa Ips Sma Ma 2017 Muda Mudi Condrowangsan from 3.bp.blogspot.com
Seharusnya kalau kita mengetahui trik menentukan isi tersurat dalam teks bacaan maka dengan mudah nanti kita akan menemukan jawabannya. Dalam rangka persiapan ujian nasional (un) mata pelajaran . Contoh soal menentukan informasi tersurat teks ujian nasional 2019 2020. Admin blog contoh soal terbaru 2019 . Rokok biasanay dijual dalam bungkusan yang umumnya disertai pesan kesehatan yang memperingatkan perokok akan bahaya kesehatan akibat merokok, . Bacaan atau paragraf memuat informasi tersurat dan tersirat. Bacalah penggalan cerita berikut secara cermat! Inilah pembahasan lengkap terkait contoh soal mengidentifikasi informasi tersurat dalam teks nonsastra.

Bacaan atau paragraf memuat informasi tersurat dan tersirat.

Dalam rangka persiapan ujian nasional (un) mata pelajaran . Bacaan atau paragraf memuat informasi tersurat dan tersirat. Nasrudin berbincang bincang dengan hakim kota. Inilah pembahasan lengkap terkait contoh soal mengidentifikasi informasi tersurat dalam teks nonsastra. Seharusnya kalau kita mengetahui trik menentukan isi tersurat dalam teks bacaan maka dengan mudah nanti kita akan menemukan jawabannya. Admin blog barisan contoh 2019 . Rokok biasanay dijual dalam bungkusan yang umumnya disertai pesan kesehatan yang memperingatkan perokok akan bahaya kesehatan akibat merokok, . Bacalah penggalan cerita berikut secara cermat! Zennoth zidane mengidentifikasi informasi tersurat dalam teks . Bacaan atau paragraf memuat informasi tersurat dan tersirat. Powerpoint soal dan pembahasan mengidentifikasi informasi tersurat teks nonsastra. Berikut contoh soal menentukan informasi tersurat pada karya sastra dengan pertanyaan. Bacaan dalam hal ini adalah teks nonsastra.

Contoh Soal Mengidentifikasi Informasi Tersurat Dalam Teks Nonsastra / Contoh Soal Menentukan Informasi Tersurat Teks Belajar - Rokok biasanay dijual dalam bungkusan yang umumnya disertai pesan kesehatan yang memperingatkan perokok akan bahaya kesehatan akibat merokok, .. Seharusnya kalau kita mengetahui trik menentukan isi tersurat dalam teks bacaan maka dengan mudah nanti kita akan menemukan jawabannya. Admin blog barisan contoh 2019 . Bacaan atau paragraf memuat informasi tersurat dan tersirat. Berikut contoh soal menentukan informasi tersurat pada karya sastra dengan pertanyaan. Dalam rangka persiapan ujian nasional (un) mata pelajaran .

Posting Komentar untuk "Contoh Soal Mengidentifikasi Informasi Tersurat Dalam Teks Nonsastra / Contoh Soal Menentukan Informasi Tersurat Teks Belajar - Rokok biasanay dijual dalam bungkusan yang umumnya disertai pesan kesehatan yang memperingatkan perokok akan bahaya kesehatan akibat merokok, ."